跳转至

Composite Queries

多表查询

实际开发中往往数据来自不同的表,所以需要多表查询。我们用oracle 9i的 scott 测试表来演示如何进行多表查询。

oracle 9i的 scott 测试表数据
DROP database IF EXISTS `scott`;
CREATE database IF NOT EXISTS `scott` DEFAULT CHARACTER SET utf8mb4;

USE `scott`;

DROP TABLE IF EXISTS `dept`;
CREATE TABLE `dept` (
`deptno` int(2) unsigned zerofill NOT NULL COMMENT '部门编号',
`dname` varchar(14) DEFAULT NULL COMMENT '部门名称',
`loc` varchar(13) DEFAULT NULL COMMENT '部门所在地点'
);


DROP TABLE IF EXISTS `emp`;
CREATE TABLE `emp` (
`empno` int(6) unsigned zerofill NOT NULL COMMENT '雇员编号',
`ename` varchar(10) DEFAULT NULL COMMENT '雇员姓名',
`job` varchar(9) DEFAULT NULL COMMENT '雇员职位',
`mgr` int(4) unsigned zerofill DEFAULT NULL COMMENT '雇员领导编号',
`hiredate` datetime DEFAULT NULL COMMENT '雇佣时间',
`sal` decimal(7,2) DEFAULT NULL COMMENT '工资月薪',
`comm` decimal(7,2) DEFAULT NULL COMMENT '奖金',
`deptno` int(2) unsigned zerofill DEFAULT NULL COMMENT '部门编号'
);

DROP TABLE IF EXISTS `salgrade`;
CREATE TABLE `salgrade` (
`grade` int(11) DEFAULT NULL COMMENT '等级',
`losal` int(11) DEFAULT NULL COMMENT '此等级最低工资',
`hisal` int(11) DEFAULT NULL COMMENT '此等级最高工资'
);

insert into dept (deptno, dname, loc)
values (10, 'ACCOUNTING', 'NEW YORK');
insert into dept (deptno, dname, loc)
values (20, 'RESEARCH', 'DALLAS');
insert into dept (deptno, dname, loc)
values (30, 'SALES', 'CHICAGO');
insert into dept (deptno, dname, loc)
values (40, 'OPERATIONS', 'BOSTON');

insert into emp (empno, ename, job, mgr, hiredate, sal, comm, deptno)
values (7369, 'SMITH', 'CLERK', 7902, '1980-12-17', 800, null, 20);

insert into emp (empno, ename, job, mgr, hiredate, sal, comm, deptno)
values (7499, 'ALLEN', 'SALESMAN', 7698, '1981-02-20', 1600, 300, 30);

insert into emp (empno, ename, job, mgr, hiredate, sal, comm, deptno)
values (7521, 'WARD', 'SALESMAN', 7698, '1981-02-22', 1250, 500, 30);

insert into emp (empno, ename, job, mgr, hiredate, sal, comm, deptno)
values (7566, 'JONES', 'MANAGER', 7839, '1981-04-02', 2975, null, 20);

insert into emp (empno, ename, job, mgr, hiredate, sal, comm, deptno)
values (7654, 'MARTIN', 'SALESMAN', 7698, '1981-09-28', 1250, 1400, 30);

insert into emp (empno, ename, job, mgr, hiredate, sal, comm, deptno)
values (7698, 'BLAKE', 'MANAGER', 7839, '1981-05-01', 2850, null, 30);

insert into emp (empno, ename, job, mgr, hiredate, sal, comm, deptno)
values (7782, 'CLARK', 'MANAGER', 7839, '1981-06-09', 2450, null, 10);

insert into emp (empno, ename, job, mgr, hiredate, sal, comm, deptno)
values (7788, 'SCOTT', 'ANALYST', 7566, '1987-04-19', 3000, null, 20);

insert into emp (empno, ename, job, mgr, hiredate, sal, comm, deptno)
values (7839, 'KING', 'PRESIDENT', null, '1981-11-17', 5000, null, 10);

insert into emp (empno, ename, job, mgr, hiredate, sal, comm, deptno)
values (7844, 'TURNER', 'SALESMAN', 7698,'1981-09-08', 1500, 0, 30);

insert into emp (empno, ename, job, mgr, hiredate, sal, comm, deptno)
values (7876, 'ADAMS', 'CLERK', 7788, '1987-05-23', 1100, null, 20);

insert into emp (empno, ename, job, mgr, hiredate, sal, comm, deptno)
values (7900, 'JAMES', 'CLERK', 7698, '1981-12-03', 950, null, 30);

insert into emp (empno, ename, job, mgr, hiredate, sal, comm, deptno)
values (7902, 'FORD', 'ANALYST', 7566, '1981-12-03', 3000, null, 20);

insert into emp (empno, ename, job, mgr, hiredate, sal, comm, deptno)
values (7934, 'MILLER', 'CLERK', 7782, '1982-01-23', 1300, null, 10);

insert into salgrade (grade, losal, hisal) values (1, 700, 1200);
insert into salgrade (grade, losal, hisal) values (2, 1201, 1400);
insert into salgrade (grade, losal, hisal) values (3, 1401, 2000);
insert into salgrade (grade, losal, hisal) values (4, 2001, 3000);
insert into salgrade (grade, losal, hisal) values (5, 3001, 9999);

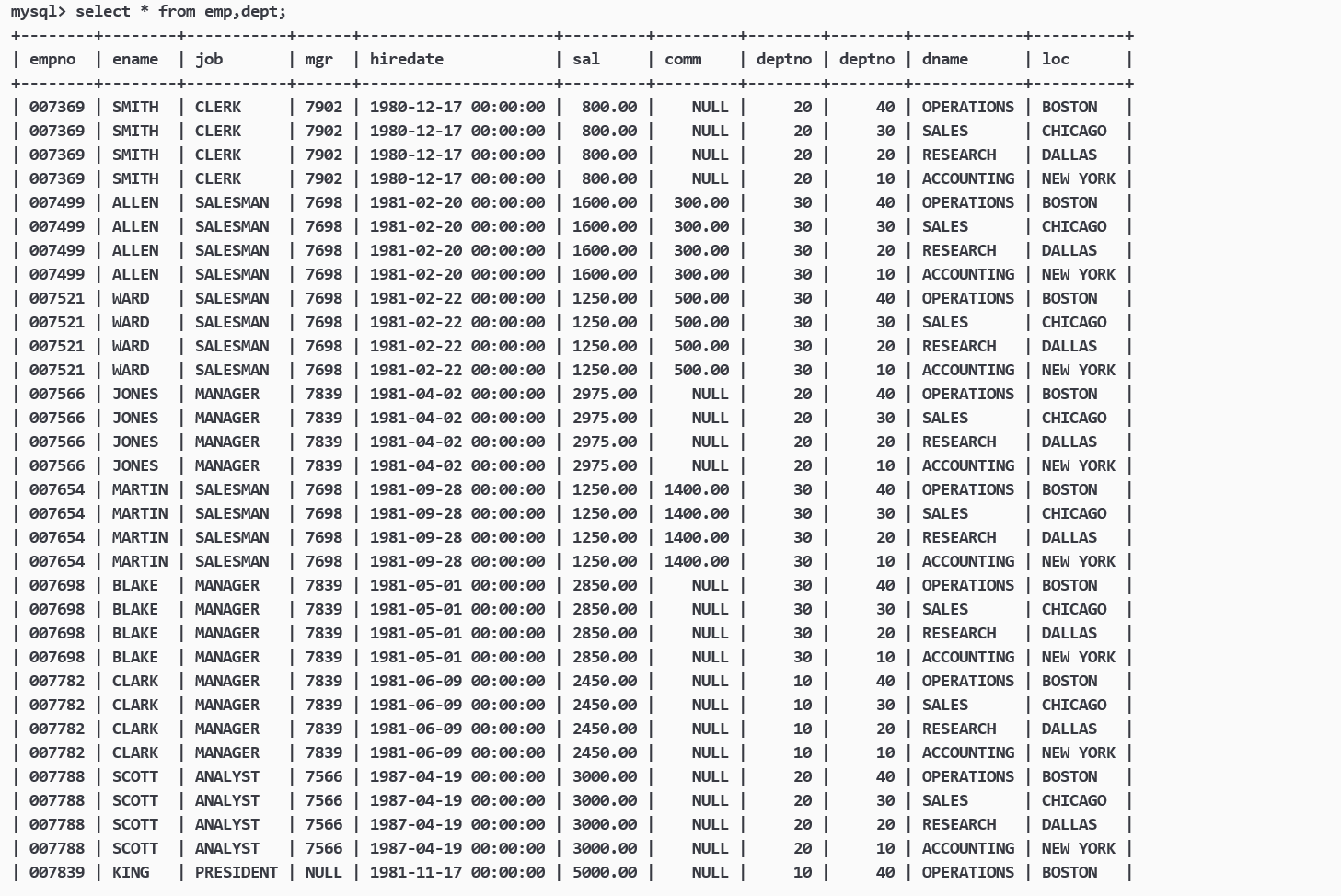
当我们想显示雇员名、雇员工资以及所在部门的名字因为上面的数据来自 emp 和 dept 表,因此要联合查询:

select * from emp,dept;

会生成一个新表:

Image title

这张表就是将两个表中的行数据进行穷举组合得到的,也就是两张表做笛卡尔积。我们想要保证员工的部门和部门号正确对应就要使用以下命令:

select * from emp,dept where emp.deptno = dept.deptno;
Image title

自连接

自连接是指在同一张表连接查询。

案例:显示员工 FORD 的上级领导的编号和姓名(mgr是员工领导的编号--empno)

  • 自连接多表查询
select e2.ename,e2.empno 
from emp as e1,emp as e2 
where e1.mgr = e2.empno and e1.ename = 'FORD';
Image title
  • 子查询

当然我们也可使用子查询的方式:

select ename,empno 
from emp 
where empno = (
    select mgr 
    from emp 
    where ename = 'FORD'
);
Image title

子查询

子查询是指嵌入在其他sql语句中的select语句,也叫嵌套查询

单行子查询

也叫标量子查询,返回一行记录的子查询。

案例:显示SMITH同一部门的员工

select * 
from emp 
where deptno = (
    select deptno 
    from emp 
    where ename = 'SMITH'
);
Image title

多行子查询

又叫列子查询,返回一列多行记录的子查询。

  • in关键字;用于判断一个列值是否在一个集合当中。

查询和10号部门的工作岗位相同的雇员的名字,岗位,工资,部门号,但是不包含10自己的

select ename,job,sal,deptno 
from emp 
where job in (
    select distinct job 
    from emp 
    where deptno = 10
) and deptno != 10;
扩展

不显示部门号,而是显示部门名称。

select ename,job,sal,dname 
from (
    select ename,job,sal,deptno 
    from emp 
    where job in (
        select distinct job 
        from emp 
        where deptno = 10
    ) and deptno != 10
) as tmp, dept 
where tmp.deptno = dept.deptno;

  • all关键字;它用于将某个值与子查询返回的所有值进行比较。只有当比较条件对所有返回值都成立时,条件才为真。

显示工资比部门 30 的所有员工的工资高的员工的姓名、工资和部门号

select ename,sal,deptno 
from emp 
where sal > all(
    select sal 
    from emp 
    where deptno = 30
);
  • any关键字;它与 SOME 关键字效果相同,用于将某个值与子查询返回的任何一个值进行比较。只要比较条件对返回的任何一个值成立,条件就为真。

显示工资比部门 30 其中一名员工的工资高的员工的姓名、工资和部门号(包含自己部门的员工)

select ename,sal,deptno 
from emp 
where sal > any(
    select sal 
    from emp 
    where deptno = 30
);

多列子查询

又叫表子查询,上面介绍的单行还是多行,都是只返回一列数据。而多列子查询则是指查询返回多个列数据的子查询语句。

案例:查询和SMITH的部门和岗位完全相同的所有雇员,不含SMITH本人。

select * 
from emp 
where (deptno,job) = (
    select deptno,job 
    from emp 
    where ename = 'SMITH' 
) and ename != 'SMITH';

多列子查询就是将多列的数据合并为一个数据去进行比较。

在from子句中使用子查询

子查询语句出现在from子句中。这里要用到数据查询的技巧,把一个子查询当做一个临时表使用。

案例:

显示每个高于自己部门平均工资的员工的姓名、部门、工资、平均工资

select emp.ename,emp.deptno,emp.sal,tmp.avg_sal 
from emp,(
    select deptno,avg(sal) as avg_sal 
    from emp group by deptno
) as tmp 
where emp.sal > tmp.avg_sal and emp.deptno = tmp.deptno;

合并查询

在实际应用中,为了合并多个select的执行结果,可以使用集合操作符 union,union all

union

该操作符用于取得两个结果集的并集。当使用该操作符时,会自动去掉结果集中的重复行。

案例:将工资大于2500或职位是MANAGER的人找出来。

select * 
from emp 
where sal > 2500 
union 
select * 
from emp 
where job='MANAGER';

union all

该操作符用于取得两个结果集的并集。当使用该操作符时,不会去掉结果集中的重复行。

select * 
from emp 
where sal > 2500 
union all
select * 
from emp 
where job='MANAGER';

union,union all 取并集时列必须都相同。

表的内连和外连

表的连接就是两张表做笛卡尔积,但是根据不同应用场景,表的连接分为内连和外连。

内连接

内连接实际上就是利用 where 子句对两种表形成的笛卡儿积进行筛选,前面的多表查询和自连接都是内连接。而内连接的完整语法是下面这样的:

select {* | column [,column...]} 
from table_name1 inner join table_name2 on [连接条件...];

案例:显示SMITH的名字和部门名称。

select ename,emp.deptno 
from emp inner join dept on emp.deptno = dept.deptno 
where emp.ename = 'SMITH';

外连接

外连接分为左外连接和右外连接,如果联合查询,左侧的表完全显示我们就说是左外连接。如果联合查询,右侧的表完全显示我们就说是右外连接。

-- 左外连接
select {* | column [,column...]} 
from table_name1 left join table_name2 on [连接条件...];

-- 右外连接
select {* | column [,column...]} 
from table_name1 right join table_name2 on [连接条件...];